一品qm楼凤论坛,全国龙凤茶楼论坛,凤凰楼信息免费茶楼,老九品茶楼凤楼论坛官网17c

¶Ô´úÊýѧµÄ·¢Õ¹ÆðÁËÖØÒª×÷ÓõĶª·¬Í¼

¶ª·¬Í¼£¨Dio-phantus of Alexandria£¬´óÔ¼¹«Ôª226Äꡪ¡ª300Ä꣩ÊÇÖøÃûµÄÏ£À°Êýѧ¼Ò£¬Ëû³¤ÆÚÔÚÑÇÀúɽ´ó×öÊýѧÑо¿¹¤×÷¡£ÓÉÓÚÔÚ¶ª·¬Í¼µÄÖø×÷ÖУ¬½ÏÉÙÌá¼°±ðµÄÊýѧ¼Ò£¬ËùÒÔÎÒÃǺÜÄÑ´ÓËûµÄÖø×÷ÖУ¬ÅжÏËûµÄ׼ȷÉú×äÄê·Ý¡£

ÏÖÔÚÖ»ÊǸù¾ÝÆÕÈüÀÕ˹д¹ýÒ»·âÐÅ£¬Ìáµ½°¢ÄÉÍÐÀû¶ò˹£¨Ô¼¹«Ôª280Ä꣩½«ËûËùÖøµÄ¹ØÓÚ°£¼°¼ÆËã·½·¨µÄС²á×ÓÏ׸ø¶ª·¬Í¼£¬Òò´ËÁ½ÈËӦͬʱ´ú»ò¶ª·¬Í¼ÎªÉÔÔçЩ¡£¾Ý´Ë¶Ï¶¨¶ª·¬Í¼µÄ»îԾʱÆÚÊǹ«Ôª250Äêǰºó¡£µ±Ê±ÕýÊÇÑÇÀúɽ´ó³Ç»Ô»ÍµÄÄê´ú£¬ÓкܶàÊýѧйÛÄîÒ²ÊÇÔÚÄÇʱÐγɵġ£

 

¶ª·¬Í¼Ö÷ÒªÊýÑ§Öø×÷¡¶ËãÊõ¡· 

±È½ÏÈ·ÇÐÖªµÀµÄÊǶª·¬Í¼ÓÐÁ½²¿Öø×÷£¬Ò»ÊÇ¡¶ËãÊõ¡·£¬´ó²¿·Ö±£´æÁËÏÂÀ´£»ÁíÒ»¸öÊÇ¡¶¶à½ÇÊý¡·£¬Ö»ÓÐÉÙ²¿·ÖÁôÏÂÀ´¡£ÁíÍâÔÚ¡¶ËãÊõ¡·Öм¸´ÎÌáµ½¹ýµÄÊÇ¡¶ÍÆÂÛ¼¯¡·£¬¿ÉÄÜÊÇÈô¸ÉÊýÂÛÎÊÌâµÄ¶ÀÁ¢»ã±à£¬Ò²¿ÉÄÜÊǸ½ÊôÔÚ¡¶ËãÊõ¡·ÖеÄʧ´«²¿·Ö¡£´ËÍ⣬ÒÁ°²²¼Àû»ô˹£¨Ô¼¹«Ôª250¡ªÔ¼330Ä꣩ËùÖø¡¶Äá¿ÆÂí»ô˹¡´ËãÊõ¡µÆÀ×¢¡·Ò»ÊéµÄ×¢ÊÍÕß»¹Ìáµ½¶ª·¬Í¼µÄÁíÍâÒ»±¾Êé¡¶·ÖÊýËã·¨¡·£¬ÊÇÌÖÂÛÓйطÖÊý¼ÆËã·½·¨µÄ£¬¿ÉϧÒÑʧ´«¡£

¡¶ËãÊõ¡·ÊǶª·¬Í¼×îÖØÒªµÄÖø×÷£¬Ò²ÊÇ´úÊýÊ·ÉϵÄÒ»²¿Ó°ÏìÉîÔ¶µÄÖø×÷¡£ËüÔÚÀúÊ·ÉÏÓ°ÏìÖ®´ó¿ÉÒÔºÍÅ·¼¸ÀïµÃ¡¶¼¸ºÎÔ­±¾¡·Ò»±È¸ßÏ¡£ÕâÊéµÄÐòÖÐ˵£¬È«Êé¹²ÓÐ13¾í¡£±£ÁôÖÁ½ñÌìµÄÖ»ÓÐ6 ¾í¡£Ïà´«ÆäÓà7 ¾íÔÚ10ÊÀ¼ÍÒÔǰÒѾ­Ê§´«¡£5ÊÀ¼ÍʱϣÅÁÌáæ«£¨Hypatia£©×¢ÊÍÕⲿÊ飬ֻעÁË6¾í£¬ÕâÒ²ÐíÊÇÆäÓà¸÷¾í±»È˺öÊÓ×îÖÕʧ´«µÄÔ­Òò¡£       

×îÔç¾ßÓдúÊýÑ§ÌØÕ÷µÄÖø×÷¡¡

Ï£À°Ê±´ú¡°ËãÊõ¡±Ò»´Ê£¬Ö÷ÒªÖ¸¡°ÊýµÄÀíÂÛ¡±£¬¼´Ï൱ÓÚÏÖÔڵġ°ÊýÂÛ¡±¡£¶øÊý×ֵļӡ¢¼õ¡¢³Ë ¡¢³ýµÈÔËËãÔò½Ð×ö¡°¼ÆËãµÄ¼¼ÇÉ¡±£¬Á½ÕßÓÐÃ÷ÏÔµÄÇø±ð¡£ÕâÖÖ·Ö·¨´Ó±Ï´ï¸çÀ­Ë¹Ê±´ú¿ªÊ¼£¬Ò»Ö±ÑÓÐøµ½½ü´ú£¬Èç¸ß˹µÄÊýÂÛÃûÖø¾Í½Ð×ö¡¶ËãÊõÑо¿¡·£¨1801£©¡£

¶ª·¬Í¼¡¶ËãÊõ¡·Êǽ²ÊýÂ۵ģ¬ËüÌÖÂÛÁËÒ»´Î¡¢¶þ´ÎÒÔ¼°¸ö±ðµÄÈý´Î·½³Ì£¬»¹ÓдóÁ¿µÄ²»¶¨·½³Ì¡£ÏÖÔÚ¶ÔÓÚ¾ßÓÐÕûϵÊýµÄ²»¶¨·½³Ì£¬Èç¹ûÖ»¿¼ÂÇÆäÕûÊý½â£¬ÕâÀà·½³Ì¾Í½Ð×ö¶ª·¬Í¼·½³Ì¡£ËüÊÇÊýÂÛµÄÒ»¸ö·ÖÖ§¡£²»¹ý¶ª·¬Í¼²¢²»ÒªÇó½â´ðÊÇÕûÊý¶øÖ»ÒªÇóÊÇÕýÓÐÀíÊý¡£¡¡¡¡

´ÓÁíÒ»¸ö½Ç¶È¿´£¬¡¶ËãÊõ¡·Ò»ÊéÒ²¿ÉÒÔ¹éÈë´úÊýѧµÄ·¶Î§¡£´úÊýÑ§Çø±ðÓÚÆäËûѧ¿ÆµÄ×î´óÌØµãÊÇÒýÈëÁËδ֪Êý£¬²¢¶Ôδ֪Êý¼ÓÒÔÔËË㣬¸ù¾ÝÎÊÌâµÄÌõ¼þÁгö·½³Ì£¬È»ºó½â·½³ÌÇó³öδ֪Êý¡£

¡¶ËãÊõ¡·Ò²ÓÐδ֪Êý£¬Õâδ֪ÊýÒ»°ã¾ÍÊÇÎÊÌâµÄ´ð°¸£¬Ò»ÇÐÔËËãÖ»ÔÊÐí¶ÔÒÑÖªÊýÀ´Ê©ÐС£ÔÚ´úÊýÖмÈȻҪ¶Ôδ֪Êý¼ÓÒÔÔËË㣬¾ÍÐèÒªÓÃijÖÖ·ûºÅÀ´±íʾËü¡£´ÓÒýÈëδ֪Êý£¬´´Éèδ֪Êý·ûºÅÒÔ¼°½¨Á¢·½³ÌµÄ˼Ï루ËäȻδÓÐÏÖ´ú·½³ÌµÄÐÎʽ£©Õ⼸·½ÃæÀ´¿´£¬¶ª·¬Í¼¡¶ËãÊõ¡·ÍêÈ«¿ÉÒÔËãµÃÉÏÊÇ´úÊý¡£µ±Ê±´úÊýѧûÓÐרÃŵÄÃû³Æ£¬algebraÊÇ9ÊÀ¼Í»¨À­×ÓÃ×ÒÔºó²Å³öÏÖµÄÃû´Ê£¬¶øÇÒÖ±µ½17ÊÀ¼Í»¹Ã»±»Å·ÖÞÈËÆÕ±é½ÓÊÜ¡£ÔÚ¡¶ËãÊõ¡·ÖУ¬¶ª·¬Í¼²ÉÓÃÁËÒ»Ì×Êýѧ·ûºÅÀ´±íʾδ֪Á¿ £¬ËûÒ²ÊÇÊ×λÓ÷ûºÅÀ´±íʾÃݵÄÊýѧ¼Ò¡£¶ª·¬Í¼½«Õâ·½ÃæµÄ³É¹û¹ÚÒÔËãÊõÖ®ÃûÊǺÜ×ÔÈ»µÄ¡£Ëû±»ºóÈ˳ÆÎª¡°´úÊýѧ֮¸¸¡±Ò²ÊÇÓÐÒ»¶¨µÀÀíµÄ¡£

¡¶ËãÊõ¡·ÒÔÎÊÌ⼯µÄÐÎʽÊÕ¼ÁË290¸öÌâÄ¿£¬ÆäÖÐÏ£À°Îı¾189¸ö£¬°¢À­²®Îı¾101¸ö£¬´ËÍ⻹ÓÐÊ®¼¸¸öÒýÀíºÍÍÆÂÛ£¬ºÏÆðÀ´¹²Èý°Ù¶à¸öÎÊÌâ¡£´óÌåÉϰ´ÓÉÒ×µ½ÄÑÅÅÁУ¬µ«ºÜÄÑ¿´µÃ³öÊÇÓÃʲô±ê×¼À´·ÖÀàµÄ¡£½âÌâµÄ·½·¨Ò²ÊÇÎ廨°ËÃÅ£¬Ã»ÓÐÒ»¶¨µÄ·¨Ôò¡£Êýѧʷ¼Òºº¿Ë¶û(Hankel£¬1839¡ª1873)˵£º¡°½ü´úÊýѧ¼ÒÑо¿Á˶ª·¬Í¼µÄ100¸öÌâºó£¬È¥½â101¸öÌ⣬ÈÔÈ»¸Ðµ½À§ÄÑ¡£¡­¡­¶ª·¬Í¼Ê¹ÈËÑÛ»¨çÔÂÒÉõÓÚʹÈËÐÀϲ¡±¡£Õâ»°ÉÔÏÓ¿äÕÅ£¬È´×¥×¡ÁËÎÊÌâµÄÒªº¦¡£¶ª·¬Í¼Ã»ÓÐ×ÅÁ¦È¥Ì½ÇóÒ»°ãÐԵĽⷨ£¬»òÈ¥Ñо¿¶àÖֽ֮ⷨ¼äµÄÄÚÔÚÁªÏµ£¬ÕâÊÇ¡¶ËãÊõ¡·µÄ×î´óȱµã¡£

 ¡°¶ª·¬Í¼¶Ô´úÊýѧµÄ·¢Õ¹ÆðÁ˼«ÆäÖØÒªµÄ×÷Óᣡ±¡ª¡ª ÒÁ·ò˹

Ï£À°Êýѧ×Աϴï¸çÀ­Ë¹Ñ§ÅÉÒÔºó£¬ÐËȤÖÐÐÄÔÚ¼¸ºÎ£¬ËûÃÇÈÏΪֻÓо­¹ý¼¸ºÎÂÛÖ¤µÄÃüËû²ÅÊǿɿ¿µÄ¡£ÎªÁËÂß¼­µÄÑÏÃÜÐÔ£¬´úÊýÒ²ÅûÉÏÁ˼¸ºÎµÄÍâÒ£¬Ò»ÇдúÊýÎÊÌ⣬ÉõÖÁ¼òµ¥µÄÒ»´Î·½³ÌµÄÇó½â£¬Ò²¶¼ÄÉÈ뽩ӲµÄ¼¸ºÎģʽ֮ÖС£Ö±µ½¶ª·¬Í¼£¬²Å°Ñ´úÊý½â·Å³öÀ´£¬°ÚÍÑÁ˼¸ºÎµÄî¿°í¡£

 ÀýÈ磬(a£«b)2=a2+2ab£«b2µÄ¹ØÏµ£¬ÔÚÅ·¼¸ÀïµÃ¡¶¼¸ºÎÔ­±¾¡·ÖÐÊÇÒ»ÌõÖØÒªµÄ¼¸ºÎ¶¨Àí(¾í¢òÃüÌâ4)£¬¶øÔÚ¶ª·¬Í¼¡¶ËãÊõ¡·ÖÐÖ»ÊǼòµ¥´úÊýÔËËã·¨ÔòµÄ±ØÈ»½á¹û¡£¡¡

ÈËÃÇÈÏΪ¡¶ËãÊõ¡·ÊÇÏ£À°ÊýѧµÄ»®Ê±´ú½Ü×÷¡£¡¶ËãÊõ¡·µÄºËÐÄÄÚÈÝÊǹØÓÚÒÔ´úÊýÊÖ·¨½â·½³ÌºÍ²»¶¨·½³ÌµÄÑо¿¡£ÕâÀïµÄ·½·¨²»ÒÀÀµÓÚ¼¸ºÎÖ¤Ã÷¡£¹ØÓÚÕûϵÊý·½³ÌµÄÕûÊý½âµÄÑо¿Êǵ±½ñÊýѧµÄÒ»¸ö·ÖÖ§¡£ÕâÒ»·ÖÖ§±»³ÆÖ®Îª¶ª·¬Í¼·½³Ì¡£Ñ°Õұϴï¸çÀ­Ë¹µÄÈýÔª×é¾ÍÊÇÒ»¸öÕâÑùµÄÀý×Ó¡£¶ª·¬Í¼»¹Ê¹ÓÃÁ˽éÓÚÎÄÌåºÍÍêÈ«µÄ·ûºÅ´úÊýÖ®¼äµÄÒ»ÖÖ¹ý¶ÉÐԵĴúÊý·ûºÅÌåϵ¡£°¢À­²®Êýѧ¼Ò°Ñ¡¶ËãÊõ¡··­Òë³ÉÁ˰¢À­²®Óï²¢¼ÓÒԹ㷺Ñо¿¡£

¶ª·¬Í¼ÔÚ½âÌâ¹ý³ÌÖÐʹÓÃÁËÐí¶à¸ß³¬µÄ¼¼ÇÉ£¬¿ÉÒÔ˵ÔÚÏ£À°ÊýѧÖÐÊǶÀÊ÷Ò»ÖÄ¡£ÓеÄÊýѧʷ¼Ò˵£¬Èç¹û¶ª·¬Í¼µÄÖø×÷²»ÊÇÓÃÏ£À°ÎÄдµÄ£¬ÈËÃǾͲ»»áÏëµ½ÕâÊÇÏ£À°È˵ijɹû£¬ÒòΪ¿´²»³öÓйŵäÏ£À°ÊýѧµÄ·ç¸ñ£¬´Ó˼Ïë·½·¨µ½Õû¸ö¿ÆÄ¿½á¹¹¶¼ÊÇȫеÄ¡£Èç¹ûûÓжª·¬Í¼µÄ¹¤×÷£¬Ò²ÐíÈËÃÇÒÔΪϣÀ°ÈËÍêÈ«²»¶®´úÊý¡£ÓÐÈËÉõÖÁ²ÂÏëËûÊÇÏ£À°»¯Á˵İͱÈÂ×ÈË¡£

·ÑÂí¸ÐÐËȤµÄ¹«Ê½

ÔÚ¡¶ËãÊõ¡·µÚ2¾íµÄµÚ8ÌâÊǹØÓÚ²»¶¨·½³ÌµÄ£º½«Ò»¸öÒÑÖªµÄƽ·½Êý·ÖΪÁ½¸öƽ·½Êý¡£ÀýÈ罫16·Ö³ÉÁ½¸öƽ·½Êý¡£ÉèÒ»¸öƽ·½ÊýÊÇx2£¬ÄÇôÁíÒ»¸öÊÇ16-x2£¬ÏÖÒªÇó16-x2ÊÇһƽ·½Êý¡£¼´16-x2=M2²»·ÁÉèM=mx-4£¬ÆäÖÐmÊÇijһÕûÊý£¬¶ø4ÊÇ16µÄƽ·½¸ù¡£ÀýÈçÁîm=2£¬ÓÚÊÇ16-x2=4x2-16x+16£¬Á¢¿ÌµÃµ½x=16/5 ¡£

 Ç°ÃæÒѾ­Ìáµ½£¬·ÑÂí¶ÔÕâÒ»ÃüÌâºÜ¸ÐÐËȤ£¬ÔÚÅԱߵĿհ״¦Ð´ÏÂÖøÃûµÄ¡°·ÑÂí´ó¶¨Àí¡±¡£´óÔ¼ÊÇÔÚ 1637Äê×óÓÒ£¬·ÑÂíÔÚ¿´µ½Õâ¸öÌâÄ¿£º¡°½«Ò»¸öƽ·½Êý·ÖΪÁ½¸öƽ·½Êý¡±Ê±£¬ÔÚÊéÒ³µÄ¿Õ°×´¦Ð´³öÁËÖøÃûµÄ¡°·ÑÂí´ó¶¨Àí¡±¡£1670Äê·ÑÂíµÄ¶ù×Ó½«Ëû¸¸Ç×µÄÈ«²¿Åú×¢²åÈëÕýÎÄ£¬ÖØÐ³ö°æ°ÍЪµÄÏ£-À­¶ÔÕÕ±¾½ü´ú£¬²»°üÀ¨Ð·¢ÏÖ4¾íµÄ¡°¶ª·¬Í¼È«¼¯¡±£¬±ê×¼°æ±¾ÊÇÌÆÄÚÀTannery£¬1843¡ª1904£¬·¨¹úÊýѧʷ¼Ò£©±à¼­¡¢Ð£¶©µÄÏ£-À­¶ÔÕÕ±¾¡¶ÑÇÀúɽ´óµÄ¶ª·¬Í¼È«¼¯£¬°üÀ¨Ï£À°ÎÄ×¢ÊÍ¡·¡£ÒÔºóÓÖÓаÍЪ(Bachet de M¨¦ziriac£¬1581¡ª1638)У¶©×¢Ê͵ÄÏ£À°-À­¶¡ÎĶÔÕÕ±¾¡¶ÑÇÀúɽ´óµÄ¶ª·¬Í¼ËãÊõ6¾í£¬¶à½ÇÊý1¾í¡·¡£

¶ª·¬Í¼ÏíÄêÖ®ÃÕ

ÔÚ¡¶Ï£À°Ê«ÎÄÑ¡¡·ÖУ¬ÊÕ¼ÁËÒ»¸öÌØ±ðÓÐȤµÄ¶ª·¬Í¼Ä¹Ö¾Ãú£º 

·ØÖа²Ôá×Ŷª·¬Í¼£¬
¶àôÁîÈ˾ªÑÈ£¬
ËüÖÒʵµØ¼Ç¼ÁËËù¾­ÀúµÄµÀ·¡£
Éϵ۸øÓèµÄͯÄêÕ¼Áù·ÖÖ®Ò»£¬
ÓÖ¹ýÊ®¶þ·ÖÖ®Ò»£¬
Á½¼Õ³¤ºú£¬
ÔÙ¹ýÆß·ÖÖ®Ò»£¬
µãȼÆð½á»éµÄÀ¯Öò¡£
ÎåÄêÖ®ºóÌì´Í¹ó×Ó£¬
¿ÉÁ¯³Ùµ½µÄÄþܰ¶ù£¬
ÏíÄê½ö¼°Æä¸¸Ö®°ë£¬
±ã½øÈë±ùÀäµÄĹ¡£
±¯ÉËÖ»ÓÐÓÃÊýÂÛµÄÑо¿È¥ÃÖ²¹£¬
ÓÖ¹ýËÄÄ꣬
ËûÒ²×ßÍêÁËÈËÉúµÄÂÃ;¡£

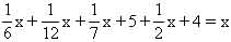
ÓÃÕâÑùµÄ·½Ê½¼ÇÔØÁËËûÏíÄêµÄÃØÃÜ£¬¼´¡°¶ª·¬Í¼µÄÒ»Éú£¬Í¯ÄêÉú»îÕ¼1/6 £¬ÔÙ¹ý1/12 Ëû¿ªÊ¼³¤ºú×Ó£¬ÔÙ¹ý1/7 Ëû½áÁ˻飬»éºó 5 ÄêÉúÁËÒ»¸ö¶ù×Ó¡£ËûµÄ¶ù×Ó±ÈËûÔç 4 Äê´ÇÊÀ£¬ÏíÄêÊÇËûµÄ1/2 ¡£¡±
ÕâÏ൱ÓÚÒ»ÔªÒ»´Î·½³Ì£º x=84¡£ÓÉ´ËÖªËûÏíÄê84Ëê¡£    

¡¡